Disadari bersama, bahwa jalan sebagai salah satu prasarana transportasi merupakan unsur penting dalam pengembangan kehidupan berbangsa dan bernegara, dalam pembinaan persatuan dan kesatuan bangsa, wilayah negara, dan fungsi masyarakat serta dalam memajukan kesejahteraan umum sebagaimana tercantum dalam Undang-undang Nomor 38
Tahun 2004 tentang Jalan
Perencanaan geometrik jalan adalah berkaitan dengan perencanaan dimensi-dimensi jalan agar tetap terlihat. Tujuan utama dari perencanaan geometrik jalan adalah untuk menjamin keamanan, efisiensi dan efektivitas pergerakan
lalu lintas. Beberapa hal yang menjadi pertimbangan adalah sifat gerakan, dimensi kendaraan, sifat pengemudi, dan
karakteristik arus lalu lintas.
BAGIAN-BAGIAN JALAN
Bagian yang bermanfaat untuk lalu lintas, terdiri dari: jalur lalu lintas, lajur lalu lintas, bahu jalan, trotoar, median
Bagian yang bermanfaat untuk drainase jalan, terdiri dari: ditch, kemiringan melintang jalan maupun bahu, kemiringan lereng
Lajur lalu lintas adalah bagian dari jalur lalu lintas yang khusus diperuntukkan untuk dilewati oleh satu rangkaian kendaraan beroda empat atau lebih dalam satu arah.
Bahu jalan adalahjalur yang terletak pada berdampingan jalur lalu lintas dengan ataupun tanpa diperkeras
Trotoar (side walk) adalah jalur yang terletak bersisian dengan jalur lalu lintas yang khusus diperuntukkan bagi pejalan kaki (pedestrian)
PARAMETER DESAIN
Alinemen horisontal (trase jalan) adalah proyeksi sumbu jalan pada bidang horisontal. Alinemen horisontal tersusun atas garis lurus dan garis lengkung (busur) atau lebih dikenal dengan istilah tikungan. Busur terdiri atas busur lingkaran saja (full-circle), busur peralihan saja (spiral-spiral), atau gabungan busur lingkaran dan busur peralihan (spiral-circlespiral).
Ada Gaya Apa Saja yang terjadi di tikungan ?
F = m a
F = (G.V^2)/(g.R)
Dimana :
F = gaya sentrifugal
m = massa kendaraan
a = percepatan sentrifugal
G = berat kendaraan
g = gaya gravitasi
V = kecepatan kendaraan
R = jari-jari tikungan
Gaya yang mengimbangi gaya sentrifugal adalah berasal dari :
• Gaya gesekan melintang roda (ban) kendaraan yang sangat
dipengaruhi oleh koefisien gesek (= f)
• Superelevasi atau kemiringan melintang permukaan jalan (= e)
Ketajaman lengkung horisontal (tikungan) dinyatakan dengan besarnya radius lengkung (R) atau dengan besarnya derajat lengkung (D). Derajat lengkung (D) adalah besarnya sudut lengkung yang menghasilkan panjang busur 25 meter.
D = (25/Ï€.R) . 360
D = 1432.39 / R
Radius lengkung (R) sangat dipengaruhi oleh besarnya superelevasi (e) dan koefisien gesek (f) serta kecepatan
rencana (V) yang ditentukan. Untuk nilai superelevasi dan koefisien gesek melintang maksimum pada suatu kecepatan yang telah ditentukan akan meghasilkan lengkung tertajam dengan radius minimum (Rmin).
Pada jalan lurus dimana radius lengkung tidak berhingga perlu direncanakan super elevasi (en) sebesar 2 – 4 persen
untuk keperluan drainase permukaan jalan.
Secara teori pada tikungan akan terjadi perubahan dari radius lengkung tidak berhingga (R~) pada bagian lurus menjadi radius lengkung tertentu (Rc)pada bagian lengkung dan sebaliknya. Untuk mengimbangi perubahan gaya sentrifugal secara bertahap diperlukan lengkung yang merupakan peralihan dari R~ menuju Rc dan kembali R~
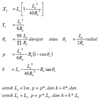
Lengkung peralihan ini sangat dipengaruhi oleh sifat pengemudi, kecepatan kendaraan, radius lengkung dan superelevasi jalan. Pencapaian superelevasi dari en menjadi emaks dan kembali menjadi en dilakukan pada awal sampai akhir lengkung secara bertahap. Panjang lengkung peralihan (Ls) diperhitungkan dari superelevasi sebesar en sampai superelevasi mencapai emaks.
Panjang lengkung peralihan (Ls) yang digunakan dalam perencanaan adalah yang terpanjang dari pemenuhan persyaratan untuk:
• Kelandaian relatif maksimum
Modifikasi rumus SHORT
Berdasarkan panjang perjalanan selama waktu tempuh 3 detik (Bina Marga) atau 2 detik (AASHTO)Ls = (V/3.6) . T
Kelandaian relatif maksimum (1/m) berdasarkan kecepatan rencana
Tahun 2004 tentang Jalan
Perencanaan geometrik jalan adalah berkaitan dengan perencanaan dimensi-dimensi jalan agar tetap terlihat. Tujuan utama dari perencanaan geometrik jalan adalah untuk menjamin keamanan, efisiensi dan efektivitas pergerakan
lalu lintas. Beberapa hal yang menjadi pertimbangan adalah sifat gerakan, dimensi kendaraan, sifat pengemudi, dan
karakteristik arus lalu lintas.
BAGIAN-BAGIAN JALAN
Bagian yang bermanfaat untuk lalu lintas, terdiri dari: jalur lalu lintas, lajur lalu lintas, bahu jalan, trotoar, median
Bagian yang bermanfaat untuk drainase jalan, terdiri dari: ditch, kemiringan melintang jalan maupun bahu, kemiringan lereng
- Bagian pelengkap, terdiri dari: kerb, guard rail atau parapet
- Bagian konstruksi jalan, terdiri dari: lapisan surface, lapisan pondasi atas maupun bawah, lapisan tanah dasar
- Ruang manfaat jalan (Rumaja)
- Ruang milik jalan (Rumija)
- Ruang pengawasan jalan (Ruwasja)
Lajur lalu lintas adalah bagian dari jalur lalu lintas yang khusus diperuntukkan untuk dilewati oleh satu rangkaian kendaraan beroda empat atau lebih dalam satu arah.
Bahu jalan adalahjalur yang terletak pada berdampingan jalur lalu lintas dengan ataupun tanpa diperkeras
Trotoar (side walk) adalah jalur yang terletak bersisian dengan jalur lalu lintas yang khusus diperuntukkan bagi pejalan kaki (pedestrian)
jalur lalu lintas (travelled/carriage way) adalah keseluruhan bagian perkerasan jalan yang diperuntukkan untuk lalu lintas kendaraan. Sedangkan Lajur lalu lintas adalah bagian dari jalur lalu lintas yang khusus diperuntukkan untuk dilewati oleh satu rangkaian kendaraan beroda empat atau lebih dalam satu arah.
PARAMETER DESAIN
- Kendaraan rencana
- Kecepatan
- Volume lalu lintas
- Tingkat pelayanan
- Jarak pandang
Alinemen horisontal (trase jalan) adalah proyeksi sumbu jalan pada bidang horisontal. Alinemen horisontal tersusun atas garis lurus dan garis lengkung (busur) atau lebih dikenal dengan istilah tikungan. Busur terdiri atas busur lingkaran saja (full-circle), busur peralihan saja (spiral-spiral), atau gabungan busur lingkaran dan busur peralihan (spiral-circlespiral).
Ada Gaya Apa Saja yang terjadi di tikungan ?
F = m a
F = (G.V^2)/(g.R)
Dimana :
F = gaya sentrifugal
m = massa kendaraan
a = percepatan sentrifugal
G = berat kendaraan
g = gaya gravitasi
V = kecepatan kendaraan
R = jari-jari tikungan
Gaya yang mengimbangi gaya sentrifugal adalah berasal dari :
• Gaya gesekan melintang roda (ban) kendaraan yang sangat
dipengaruhi oleh koefisien gesek (= f)
• Superelevasi atau kemiringan melintang permukaan jalan (= e)
Ketajaman lengkung horisontal (tikungan) dinyatakan dengan besarnya radius lengkung (R) atau dengan besarnya derajat lengkung (D). Derajat lengkung (D) adalah besarnya sudut lengkung yang menghasilkan panjang busur 25 meter.
D = (25/Ï€.R) . 360
D = 1432.39 / R
Radius lengkung (R) sangat dipengaruhi oleh besarnya superelevasi (e) dan koefisien gesek (f) serta kecepatan
rencana (V) yang ditentukan. Untuk nilai superelevasi dan koefisien gesek melintang maksimum pada suatu kecepatan yang telah ditentukan akan meghasilkan lengkung tertajam dengan radius minimum (Rmin).
Pada jalan lurus dimana radius lengkung tidak berhingga perlu direncanakan super elevasi (en) sebesar 2 – 4 persen
untuk keperluan drainase permukaan jalan.
Lengkung peralihan ini sangat dipengaruhi oleh sifat pengemudi, kecepatan kendaraan, radius lengkung dan superelevasi jalan. Pencapaian superelevasi dari en menjadi emaks dan kembali menjadi en dilakukan pada awal sampai akhir lengkung secara bertahap. Panjang lengkung peralihan (Ls) diperhitungkan dari superelevasi sebesar en sampai superelevasi mencapai emaks.
Panjang lengkung peralihan (Ls) yang digunakan dalam perencanaan adalah yang terpanjang dari pemenuhan persyaratan untuk:
• Kelandaian relatif maksimum
Modifikasi rumus SHORT
Berdasarkan panjang perjalanan selama waktu tempuh 3 detik (Bina Marga) atau 2 detik (AASHTO)Ls = (V/3.6) . T
Kelandaian relatif maksimum (1/m) berdasarkan kecepatan rencana
| No | Kecepatan Rencana (Vr) | ||||||
| 20 | 30 | 40 | 50 | 60 | 80 | 100 | |
| Bina Marga | 1/50 | 1/75 | 1/100 | 1/115 | 1/125 | 1/150 | 1/100 |
| No | Kecepatan Rencana (Vr) | ||||||
| 32 | 48 | 64 | 80 | 88 | 96 | 104 | |
| AASHTO | 1/33 | 1/150 | 1/175 | 1/200 | 1/213 | 1/222 | 1/244 |
Diagram Superelevasi
Merupakan penggambaran pencapaian superelevasi dari lereng normal (en) sampai lereng maksimal (e maks), sehingga dapat ditentukan diagram penampang melintang setiap titik (stationing) pada suatu tikungan yang direncanakan.
Bentuk Tikungan
- Full Circle,
- Spiral – Circle – Spiral,
- Spiral – Spiral,
Karena hanya terdiri dari lengkung sederhana saja, maka perlu adanya lengkung peralihan fiktif (Ls`) untuk mengakomodir perubahan superelevasi secara bertahap. Bina marga menempatkan ¾ Ls` pada bagian lurus dan ¼ Ls` pada bagian lengkung • AASHTO menmpatkan 2/3 Ls` pada bagian lurus dan 1/3 Ls` pada bagian lengkung.
Spiral – Circle – Spiral

Lc untuk lengkung type S – C – S sebaiknya ≥ 20 meter
Spiral – Spiral
Rc yang dipilih harus sedemikian rupa sehingga Ls yang diperlukan dari Ls berdasarkan landai relatif lebih besar dari
pada Ls berdasarkan modifikasi SHORT serta Ls berdasarkan panjang perjalanan selama 3 detik (Bina Marga) atau selama 2 detik (AASHTO).
Pelebaran Pada Lengkung
b = lebar kendaraan rencana
B = lebar perkerasan yang ditempati satu kendaraan di tikungan pada lajur sebelah dalam
U = B-b
C = lebar kebebasan samping di kiri dan kanan kendaraan
Z = lebar tambahan akibat kesukaran mengemudi di tikungan
Bn = lebar total perkerasan pada bagian lurus
Bt = lebar total perkerasan di tikungan
n = jumlah lajur
Bt = n(Bt + C) + Z
Db= tambahan lebar perkerasan di tikungan = Bt - Bn
Rw = radius lengkung terluar dari lintasan kendaraan pada lengkung horisontal untul lajur sebelah dalam, besarnya dipengaruhi oleh tonjolan
depan (A) kendaraan dan sudut belokan roda depan (a). Ri = radius lengkung terdalam dari lintasan kendaraan pada lengkung horisontal untuk lajur sebelah dalam, besarnya dipengaruhi oleh jarak gandar kendaraan (p).
ALINEMEN VERTIKAL
Alinemen vertikal (kelandaian) adalah perpotongan bidang vertikal dengan bidang permukaan perkerasan jalan sehingga sering dikenal dengan penampang memanjang jalan. Faktor yang menjadi pertimbangan penentuan alinemen vertikal adalah: kondisi tanah dasar, keadaan medan (terrain), fungsi jalan, hwl/lwl, kelandaian yang masih memungkinkan. Kelandaian dibaca dari kiri ke kanan; diberi nilai positif untuk pendakian dari kiri ke kanan dan nilai negatif untuk penurunan dari kiri ke kanan.
Kelandaian
Landai minimum; landai idealnya sebesar 0% (datar), landai 0.15% disarankan untuk jalan menggunakan kerb, landai 0.3 – 0.5% disarankan untuk jalan di daerah galian menggunakan kerb. Landai maksimum; adalah kelandaian tertentu dimana kelandaian akan mengakibatkan berkurangnya kecepatan yang masih lebih besar dari setengah kecepatan rencana.
| Vr (Km/jam) | 120 | 110 | 100 | 80 | 60 | 50 | 40 | <40 |
| Kelandaian Max (%) | 3 | 3 | 4 | 5 | 8 | 9 | 10 | 10 |
Panjang kritis (meter) sangat diperlukan sebagai batasan kelandaian maksimum agar pengurangan kecepatan tidak lebih dari kecepatan rencana (tabel di bawah)
| Vr (Km/jam) | Kelandaian (%) | ||||||
| 4 | 5 | 6 | 7 | 8 | 9 | 10 | |
| 80 | 630 | 460 | 360 | 270 | 230 | 230 | 200 |
| 60 | 320 | 210 | 160 | 120 | 110 | 90 | 80 |
Pada jalan berlandai dengan LHR yang tinggiperlu dibuat lajur pendakian untuk menampung kendaraan (khususnya kend berat) yang sering mengalami penurunan kecepatan agar tidak mengganggu lalu lintas dengan kecepatan yang lebih tinggi.
TYPE ALINEMEN VERTIKAL
Lengkung vertikal cembung

Lengkung vertikal cekung






















CV.Rakaju Lab teknik
ReplyDeleteJual alat Laboratorium Teknik Sipil kualitas Tanah, Beton, Aspal, Batuan dan material konstruksilainnya.supplier peralatan Quality Control dan Geoteknik untuk peralatan kualitas Konstruksi Jalan, Jembatan, Gedung-gedung, Dam, dan konstruksi teknik sipil lainnya, khusus untuk peralatan kualitas Tanah, Beton, Aspal, Batuan dan material konstruksi lainnya yang bermanfaat untuk menjamin kualitas konstruksi, sehingga dapat memperpanjang masa pakai ( life time) konstruksi dan mempertahankan kualitas konstruksi, sehingga berdampak pada efisiensi dana pembangunan.
alat sondir 2, 5 ton
alat sondir 5 ton
alat sondir 10 ton
alat core drill
core drill
sondir 5 ton
sondir 2, 5 ton
alat laboratorium teknik sipil
alat laboratorium tanah
alat laboratorium beton
alat laboratorium aspal
toko alat teknik sipil'
pusat alat teknik sipil
CV.RAKAJU LAB TEKNIK
-Distributor
-Supplier
-Agen alat lab inpor
-Produksi Sendiri alat lab Lokal
-jual alat laboratorium tanah
-jual alat laboratorium beton
-jual alat laboratorium aspal
-jual alat laboratorium pertambangan
jual alat laboratorium teknik sipil
Jual alat laboratorium di jakarta
jual alat laboratorium teknik sipil seluruh indonesia
jual jasa alat laboratorium teknik sipil
Jual semua alat lab sebagai berikut
jual Laboratorium Tanah
jual Laboratorium Beton
jual Laboratorium Aspal
jualLaboratorium Kimia
jual Laboratorium Teknik Mesin
jual Laboratorium Pertambangan
jualPertambangan Mining
jual Glass Ukur
jual Labu Ukur
jual Piknometer
jualLaboratotorium Pertanian
jual General
Lab techniques CV.Rakaju
Selling tool Civil Engineering Laboratory Soil quality, Concrete, asphalt, rocks and material konstruksilainnya.supplier Quality Control and Geotechnical equipment for quality equipment Construction Roads, Bridges, Buildings, Dam, and other civil engineering construction, specifically to land quality equipment, Concrete , asphalt, rocks and other construction materials that are useful to ensure the quality of construction, so as to extend the life ( life time) of construction and maintaining the quality of construction, so the impact on the efficiency of development funds.
CV.RAKAJU ENGINEERING LAB
-Distributor
-Supplier
-Agen Lab equipment inpor
-Production Of Local Self lab equipment
-Sell soil laboratory equipment
-Sell concrete laboratory equipment
-Sell asphalt laboratory equipment
-Sell mining laboratory equipment
Sell all the lab equipment as follows
Soil Laboratory selling
Concrete Laboratory selling
Asphalt Laboratory selling
jualLaboratorium Chemistry
Laboratory selling Mechanical Engineering
Mining Laboratory selling
jualPertambangan Mining
Glass selling Measure
Pumpkin sales Measure
selling pycnometer
Agriculture jualLaboratotorium
General selling
contact info 02292101889 Hp.082121444881
CV.Rakaju Lab teknik
Jual alat Laboratorium Teknik Sipil kualitas Tanah, Beton, Aspal, Batuan dan material konstruksilainnya.supplier peralatan Quality Control dan Geoteknik untuk peralatan kualitas Konstruksi Jalan, Jembatan, Gedung-gedung, Dam, dan konstruksi teknik sipil lainnya, khusus untuk peralatan kualitas Tanah, Beton, Aspal, Batuan dan material konstruksi lainnya yang bermanfaat untuk menjamin kualitas konstruksi, sehingga dapat memperpanjang masa pakai ( life time) konstruksi dan mempertahankan kualitas konstruksi, sehingga berdampak pada efisiensi dana pembangunan.
Dalam penurunan Rumus Kecepatan kendaraan pada jalan raya , adalah sebaiknya di turunkan rumus tersebut diamana ambil a = Vkuadrat per R.
ReplyDeleteSeharusnya juga dimunculkan gambar Superelevasi jalan untuk alenjemen Horisontal,
ReplyDeleteJuga dapat ditambahkan rumus Koefisien Gesek Jalan Raya.
ReplyDeletesangat bermanfaat terima kasih banyak tuan
ReplyDeleteTrimkash untuk ilmunya
ReplyDeleteSangat bermanfaat sodara
ReplyDeletebagus artikelnya
ReplyDeletetrimakasih